본문 바로가기
청약/청약

[맨듀's 청약 한장정리] 용산 호반써밋 에이디션 모집공고 (총정리, 분양일정, 분양가, 규제, 전매제한, 실거주의무, 재당첨제한, 평면도, 배치도, 모델하우스)

by 맨듀 & 퐁듀 2023. 7. 19.
728x90
반응형

  용산 호반써밋 에이디션 입주자모집공고 

모집공고

2023000324 용산 호반써밋 에이디션 입주자모집공고문.pdf
1.05MB


 일정 

▪ 모집공고일 : 2023.07.14 [금]

▪ 특별공급 : 2023.07.24 [월]

▪ 1순위(해당) : 2023.07.25 [화]

▪ 1순위(기타) : 2023.07.26 [수]

▪ 2순위 : 2023.07.27 [목]

▪ 당첨자발표 : 2023.08.02 [수]

▪ 계약체결일 : 2023.08.14 [월] ~ 08.16 [수]

▪ 입주예정일 : 2025.03 예정

 


 공급위치 

▪ 서울특별시 용산구 한강로 2가 210-1번지 일원 (국제빌딩주변 제5구역 도시정비형 재개발사업)

 


 공급세대 

▪ 아파트 지하 8층, 지상 39층 1개동 총 110세대[조합 20세대(보류지 1세대 포함)] 중 일반분양 90세대
  [특별공급 25세대(일반[기관추천] 4세대, 다자녀가구 9세대, 신혼부부 7세대, 노부모부양 2세대, 생애최초 3세대 포함)] 및 부대복리시설

 


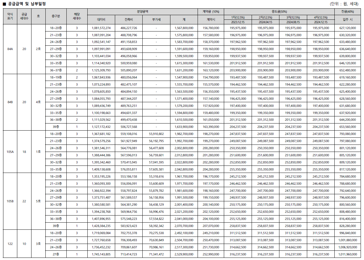
 분양가 [발코니 확장비] 

▪ 계약금 10% + 중도금 50% + 잔금 40%

▪ 중도금대출 가능 시 50%

▪ 금융기관 협의 필요

 

▪ 84A : 15.67억 ~ 16.31억 [40.4만] 
 84B : 15.47억 ~ 16.33억 [10.1만]
 105A : 19.82억 ~ 20.42억 [238만]
 105B : 19.61억 ~ 20.70억 [306만]
 112 : 24.92억 ~ 25.29억 [181만]

 

모든 타입


 예치금 

서울특별시 청약예치금

▪ 전용면적 85m² 이하 : 300만원

▪ 전용면적 135m² 이하 : 1000만원


 규제지역 및 제한사항 

투기과열지역

▪ 투기과열지구 및 청약과열지역

 분양가상한제 적용 민영주택

 거주의무 3년

재당첨제한 : 10년(5년간 투기과열지구 및 청약과열지역 1순위 접수제한)

▪ 전매제한 : 3년(소유권이전등기일이후 가능)

 


 청약 자격 

1순위 자격

▪ 청약통장 가입기간 2년이상 + 예치금 이상

세대주

▪ 과거 5년 이내 당첨된 자의 세대에 속하지 않은자

▪ 2주택 이상 소유세대가 아닌 자

 

▪ 거주 지역 : 서울특별시, 수도권[인천광역시, 경기도]

 지역 우선 : 서울특별시 2년 이상 거주자 100%

 

예비입주자

▪ 500% 선정

▪ 특별공급 : 추첨

▪ 일반공급 : 가점 / 추첨

 


 가점제 & 추첨제 

▪ 전용면적 85m² 이하 : 가점제 70% + 추첨제 30%

▪ 전용면적 85m² 초과 : 가점제 80% + 추첨제 20%

 


 평면도 

 

84A 타입

 

84B 타입

 

105A 타입

 

105B 타입

 

122 타입

 


 단지 배치도 

 


 모델하우스 위치 

▪ 서울 서초구 양재대로2길 18 호반 파크 2관 1층

 

▪ e - 모델하우스 : https://www.hobansummit-ys.co.kr/sub/apartment/e-house_105b.html

 

호반써밋 A.DITION

호반써밋 A.DITION | 공식 홈페이지 | 분양정보

www.hobansummit-ys.co.kr

 


 홈페이지 

https://www.hobansummit-ys.co.kr/

 

호반써밋 A.DITION

호반써밋 A.DITION | 공식 홈페이지 | 분양정보

www.hobansummit-ys.co.kr


모집공고 한장정리 [출처 :  입주자모집공고문]


[🥟 맨듀's 청약 한장정리]
🏡 용산 호반써밋 에이디션
📅 7월 24~27일 청약신청!

▪ 모집공고일 : 2023.07.14 [금]

서울특별시, 수도권(경기도, 인천광역시) 세대주분들 내집마련 가자아~

분양가, 전매제한, 실거주의무, 재당첨제한, 중도금대출 등
자세한내용은 아래링크 클릭!
[출처 : man-due.tistory.com/139]

728x90
반응형

SNS 버튼으로 이 글을 공유해보세요 : )

facebook twitter googleplus kakaoTalk kakaostory naver band

댓글