본문 바로가기
청약/청약

[맨듀's 청약 한장정리] 경서 북청라 푸르지오 트레시엘 모집공고 (총정리, 분양일정, 분양가, 규제, 전매제한, 실거주의무, 재당첨제한, 평면도, 배치도, 모델하우스)

by 맨듀 & 퐁듀 2021. 9. 9.
728x90
반응형

 경서 북청라 푸르지오 트레시엘 입주자모집공고 

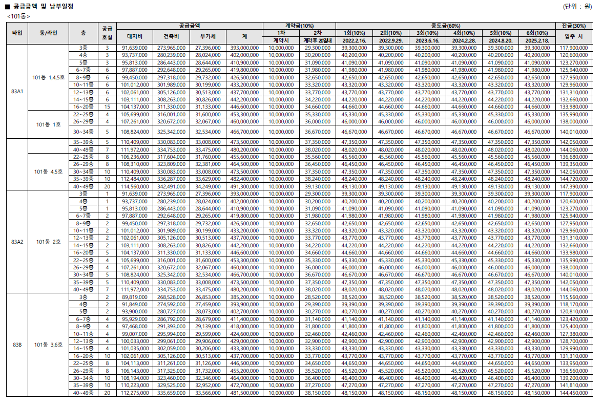
모집공고 한장정리 [출처 : 경서 북청라 푸르지오 트레시엘 입주자모집공고문]


 일정 

▪ 모집공고일 : 2021.09.09 [목]

▪ 청약 접수 : 2021.09.16 [목]

▪ 당첨자발표 : 2021.09.24 [금]

▪ 계약체결일 : 2021.09.25 [토] ~ 09.30 [목]

▪ 입주예정일 : 2025.07 예정

 


 공급위치 

▪ 인천광역시 서구 경서3구역 도시개발지구 25블럭 1롯트

 

 


 공급세대 

▪ 지하4층 ~ 지상49층 6개동, 오피스텔 총 1,522실

 


 분양가 

▪ 계약금 10% + 중도금 60% + 잔금 30%

▪ 중도금대출 60%

▪ 중도금 무이자

 

▪ 83A1 : 3.930억 ~ 4.913억
▪ 83A2 : 3.930억 ~ 4.802억
▪ 83B : 3.852억 ~ 4.815억

 

모든 타입 (각 동마다 최고가 상이)

 


 청약신청금 

 

▪ 모든 (군)타입 공통 : 300만원

▪ 1인 1실(건)씩

 

 


 규제지역 및 제한사항 

투기과열지역

▪ 투기과열지구 및 청약과열지역

 오피스텔

▪ 주택청약통장 필요 없음

 거주의무 없음

 재당첨제한 없음

▪ 전매제한 : 소유권이전등기일(1년을 초과하는 경우 1년)

 


 청약 자격 

인천광역시 20% 우선 선정

 전국 만 19세 이상인 자

 1인 1실(건)씩 청약 가능

 

 

예비입주자

▪ 별도 선정 안함(추후 수의계약)

 

 


 가점제 & 추첨제 

 추첨제 100%

 


 평면도 

83A1 타입

 

83A2 타입

 

83B 타입


 단지 배치도 

 


 모델하우스 위치 

▪ 인천광역시 서구 청라동 157-11번지

 

 

▪ e - 모델하우스 : http://prugiotreciel.com/website/vr.html

 

경서 북청라 푸르지오 트레시엘

푸르지오가 아니면 누릴 수 없는 집 - 경서 북청라 푸르지오 트레시엘

prugiotreciel.com

 


 홈페이지 

http://prugiotreciel.com/website/index.html

 

경서 북청라 푸르지오 트레시엘

푸르지오가 아니면 누릴 수 없는 집 - 경서 북청라 푸르지오 트레시엘

prugiotreciel.com

 


[🥟 맨듀's 청약 한장정리]
🏡 경서 북청라 푸르지오 트레시엘
📅 9월 16일 청약신청!

▪ 모집공고일 : 2021.09.09 [목]

만19세 이상 인천시, 전국 세대주/세대원분들 내집마련 가자아~

분양가, 전매제한, 실거주의무, 재당첨제한, 중도금대출 등
자세한내용은 아래링크 클릭!
[출처 : man-due.tistory.com/66]

728x90
반응형

SNS 버튼으로 이 글을 공유해보세요 : )

facebook twitter googleplus kakaoTalk kakaostory naver band

댓글